http://24.media.tumblr.com/3a54a3e47...nhqgo1_500.jpg
Printable View
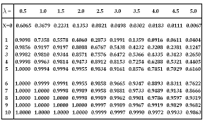
Print screen of a part of my lecture notes...
http://25.media.tumblr.com/tumblr_ly...nbmho1_500.png
http://25.media.tumblr.com/tumblr_ly...5g1so1_500.jpg
http://howtostop-arunnynose.com/wp-c...tuffy-nose.jpg
http://www.elektra.com/sites/elektra...les/marina.jpg
https://encrypted-tbn3.gstatic.com/i...yq9_yEdeH24vcw
https://encrypted-tbn3.gstatic.com/i...zHe7r4x0r62DYQ
https://encrypted-tbn0.gstatic.com/i...lu22IVQvEVMFIg
http://pieknits.com/blue_pie/pie_main.jpg
http://math.rice.edu/~pcmi/sphere/degrad.gif